Tobramycin is an aminoglycoside antibiotic derived from Streptomyces tenebrarius that is used to treat various types of bacterial infections, particularly Gram-negative infections. It is especially effective against species of Pseudomonas.
| Product Name: | Tobramycin sulfate |
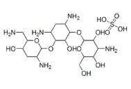
| Synonyms: | TOBRAMYCIN SULFATE SALT;TOBRAMYCIN SULPHATE;4-Amino-2-[4,6-diamino-3-[3-amino-6-(aminomethyl)-5-hydroxyoxan-2-yl]oxy-2-hydroxycyclohexyl]oxy-6-(hydroxymethyl)oxane-3,5-diol sulfate;Tobramycin sulfate;Dartobcin;Dicon;Nebcine;Tobra gobens |
| CAS: | 79645-27-5 |
| MF: | C18H39N5O13S |
| MW: | 565.59 |
| EINECS: | 256-499-2 |
